.jpg)
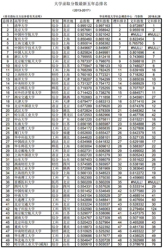
各地高考志愿正在填的如火如荼,很多人都很纠结到底报考哪个大学最靠谱。日前,华东师范大学社会调查中心正式推出了2018版中国大学录取分数排行榜。今天给大家分享我国高考录取难度最大的50所大学,按照近5年来的高考录取分数,从高到低排名,供大家填报志愿时参考
第一、清华大学。我国最高学府,工科第一学府,一直以来是很多学子的梦想,清华大学也是连续多年来,录取分数最高的大学。
第二、北京大学。清华北大,我国大学里的双子星。北京大学以人文、理科著名,多年来高考录取分数线排名全国第2。
第三、中国科学院大学。中国科学院大学虽然建校时间短,只有几年时间,但是原来底子厚,背靠中国科学院这棵大树,拥有雄厚的科研能力,高考录取分数自然不会低,次于清华大学和北京大学,已经超越同门师兄中国科学技术大学。
第四、复旦大学。复旦大学,位于上海的另一所名校,在南方非常受欢迎,特别是在人文社科,理科,医学等专业领域,每年非常热门。
第五、上海交通大学。清北复交,绝对名不虚传,在没有中国科学院大学之前,这4所大学的高考录取分数一直都是全国前4名。上海交通大学一直是仅次于清华大学的工科大学。
除了这5所顶级名校,高考录取难度排名第6至第10名的大学分别是:中国科学技术大学第6,中国人民大学第7,浙江大学第8,北京航空航天第9,南京大学第10。
还有大家比较关注的武汉大学排名第20,华中科技大学排名第26等等。
另外,录取难度最高的50名大学中,哈尔滨工业大学本部排名第21名,而威海校区垫底,排在第50名。
(2).jpg)