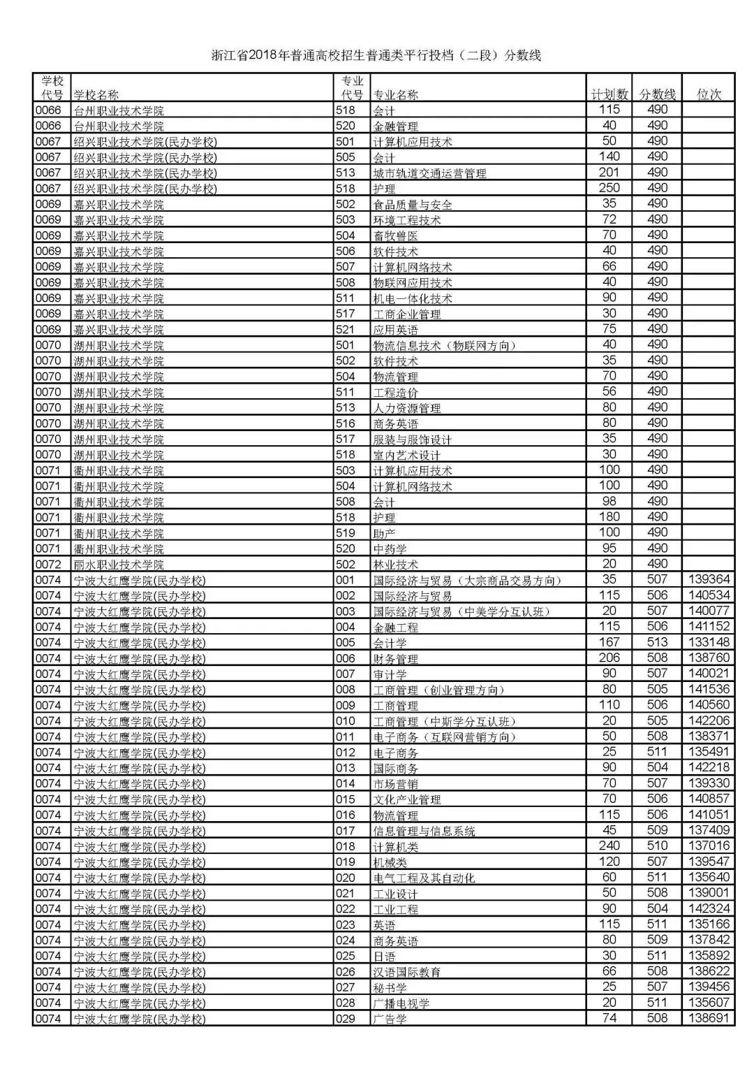
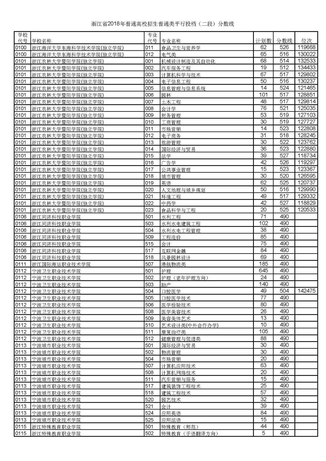
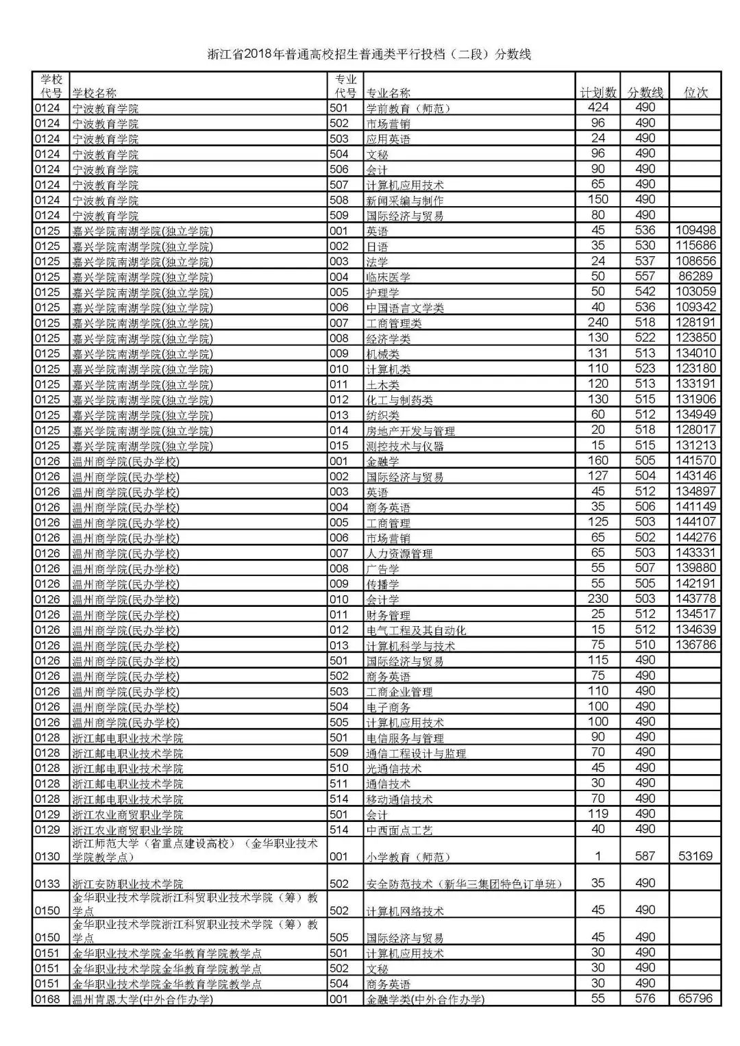
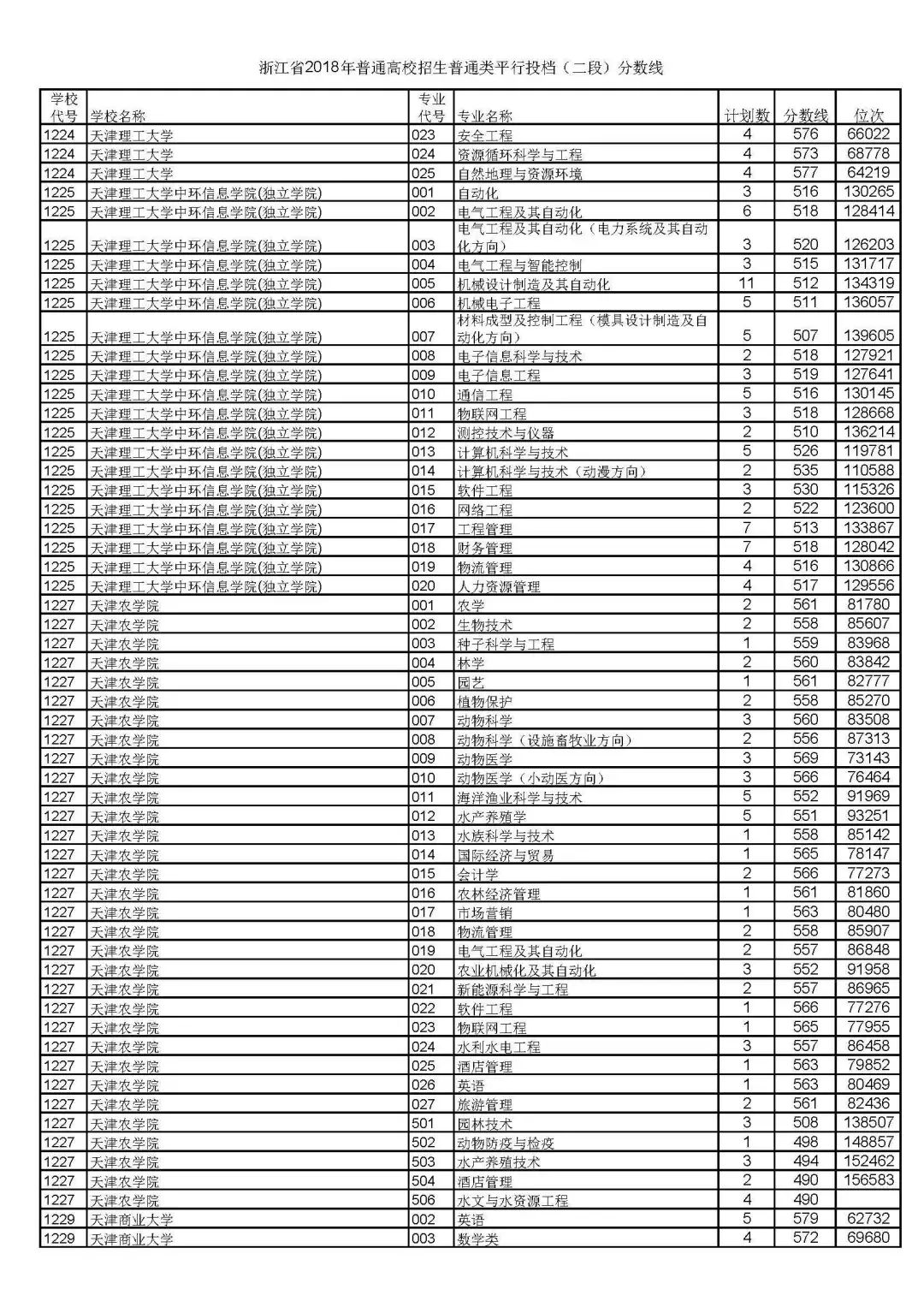
今天上午8:30,我省高考二段平行志愿正式投档!普通类、艺体类各院校专业投档分数线随后发布,一起来看看。
新高考专业平行志愿分段填报,提高了考生志愿选报的针对性、精准度和成功率。本次普通类二段志愿填报率高达98.3%,平均填报67个志愿,近五成考生填满80个志愿;考生理性选报精准定位,分数分布和高校学历层次的匹配度也非常理想。志愿投出率攀高,其中普通类二段投出率达94.9%,高出去年3.6个百分点。省内外各区域院校生源总体分布较为均衡,未出现地域空缺;本科投档生源爆满,除一所院校某工科试验班因要求一段线上75分未完成计划外,其余所有本科院校专业全部投满(去年有254个本科专业未投满),医学、师范、工商管理、经贸类专业志愿仍为选报热点,优势专业、特色专业、新开设专业(如数据科学及大数据技术等)也广受考生青睐。此外,省内外院校已有数百个专科专业全部投满,省内部分院校热点专科专业甚至在二段线上10分左右即已投满。
本次二段平行志愿投档后,各高校随后进行网上录取。预计在7月30日晚上,考生可登录浙江省教育考试院网站(www.zjzs.net)或浙江考试微信公众号查询录取状况。
接下来,我省高考录取即将进入第三段平行志愿填报和录取。上了第三段线的考生,可以准备起来啦!按照我省录取进程,第三段可填报的院校专业计划,将于7月31日在浙江省教育考试院网站公布,考生可在8月3-4日填报普通类第三段志愿,投档录取将在8月8-9日进行。
三段线下考生,后续还有机会。今年招生计划有相应增加,预计普通类第三段后仍将实行扩大比例征求志愿,具体扩大比例幅度将视第三段投档录取后的计划缺额情况而定。我省将于8月11日统一公布普通类征求志愿计划,同时公布征求志愿资格分数线,考生可在8月12日填报征求志愿。届时,请第三段线下及三段线上尚未录取的有关考生及时关注浙江省教育考试院公告,确保及时了解并按时参加征求志愿填报。我省将在8月14日对征求志愿进行投档录取。
.jpg)




























































































































































































注:位次栏目为空的,表示该学校专业本轮投档人数未满;表中计划数均为一段录取后剩余计划数。