公告:
欢迎访问台州育华(七大校区)官网!2025年的成人高等学历教育报名工作已经拉开序幕,有意向今年报名的学员请抓紧联系我校报名,以免错过。咨询电话:0576-88195000 0576-88195005 18906566101[沈老师]
设为首页
加入收藏
联系客服
联系我们
台州各校区位置
育华简介
发展历程
校区展示
办学理念
荣誉展示
学校标志
招生院校
专业简介
报考指南
政策解读
考生问答
新生须知
教务通知
财务缴费
期末通知
文件通知
证书样本
办事指南
2025年12月28日
星期日
农历十一月初九
2025年台州市育华教育(各校区)成教、网教、中专、统招报名联系方式
学校网站在建设中,给大家带来不便,请谅解。
18957602815 (叶老师)
当前位置:
综合存档
<>
返回首页
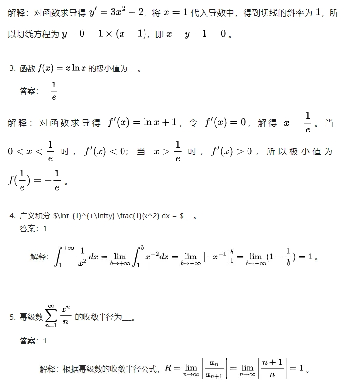
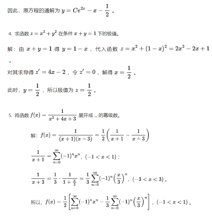
2024年全国成人高考《高等数学》模拟试题及答案
阅读数:
2282
人次 更新日期:
2024年09月22日
【
返回顶部
】
【收 藏】
【打 印】
【关 闭】
上一篇:
专升本政治知识点
下一篇:
2024年全国成人高考《政治》模拟试题及答案
相关新闻
·
关于宁波大学高等学历教育2025级第二学期期末考试(纸质考试)的通知
·
浙江省成人高等学历教育文件通知
·
浙江省各高等院校期末考试通知一览
·
宁波大学高等学历继续教育2025级(第二学期)12月6日-12月7日课程表
·
浙江工商大学/宁波大学/嘉兴大学/丽水学院高等学历继续教育台州育华教学
·
学习平台
·
2019年全国网络高等学历教育统考模拟在线考试正式上线使用!
·
2021年全国网络教育(专升本)统考模拟在线考试正式上线使用!
·
台州学历本科
·
台州学历专科
·
2021年10月浙江省成人高考台州各县/市考点汇总表及注意事项
·
绍兴文理学院手机端学习方法
·
绍兴文理学院电脑端学习方法
·
2022年春季网络教育台州教学点招生简章
·
高考填报志愿:你的所有疑问,都可以在这里找到答案(填报志愿百问百答)
·
中国国家智慧教育平台国际版正式上线,首批上线七百余门课程
特别推荐
育华学校常年招生项目
·
2026年成教学历(高起专/专升本)报
·
育华学校常年招生项目
·
以新发展理念,引领高质量发展—
·
如何从学信网下载电子注册备案表?
·
台州育华教育2023级成人高等教育
·
社会是如何看待成人学历文凭?学
·
台州育华(学历教育)招生各高校备案表
·
职称认定和职称评审的区别是什么
·
嘉兴学院召开2021年继续教育函授
·
宁波职业技术学院召开2021年成人
最新新闻
·
为什么说成人高考在函授站报名比
·
规范护航,考风铸魂——宁波大学
·
院校携手谋发展 精准指导促提升—
·
校地协同育新才 赋能发展启新程—
·
校点协同聚合力 提质增效谋新篇—
·
定格青春印记 护航逐梦之路—台州
·
学历不止是一纸文凭,更是人生的
·
成绩即可查询!浙江省2025年成人
·
热点|2025年成人高考成绩查询方法
·
成绩查询 | 下半年全国计算机等级
·
教育政策解读 | 学位法+非脱产,
·
浙江工商大学24级学位英语考试台
·
在职人员想报名2026年成考?请如
·
载誉亮相|台州市路桥区育华学校
·
提升学历继续教育的考生们!这些
·
浙江成人高考成绩查询时间定了!
课程列表
·
丽水学院成人高等学历教育(专科
·
嘉兴大学成人高等学历教育(专科
·
宁波大学成人高等学历教育(本科
·
浙江工商大学成人高等学历教育(
·
浙江农林大学成人高等学历教育(
·
宁波职业技术学院成人高等学历教
·
浙江大学宁波理工学院成人高等学
·
衢州职业技术学院成人高等学历教